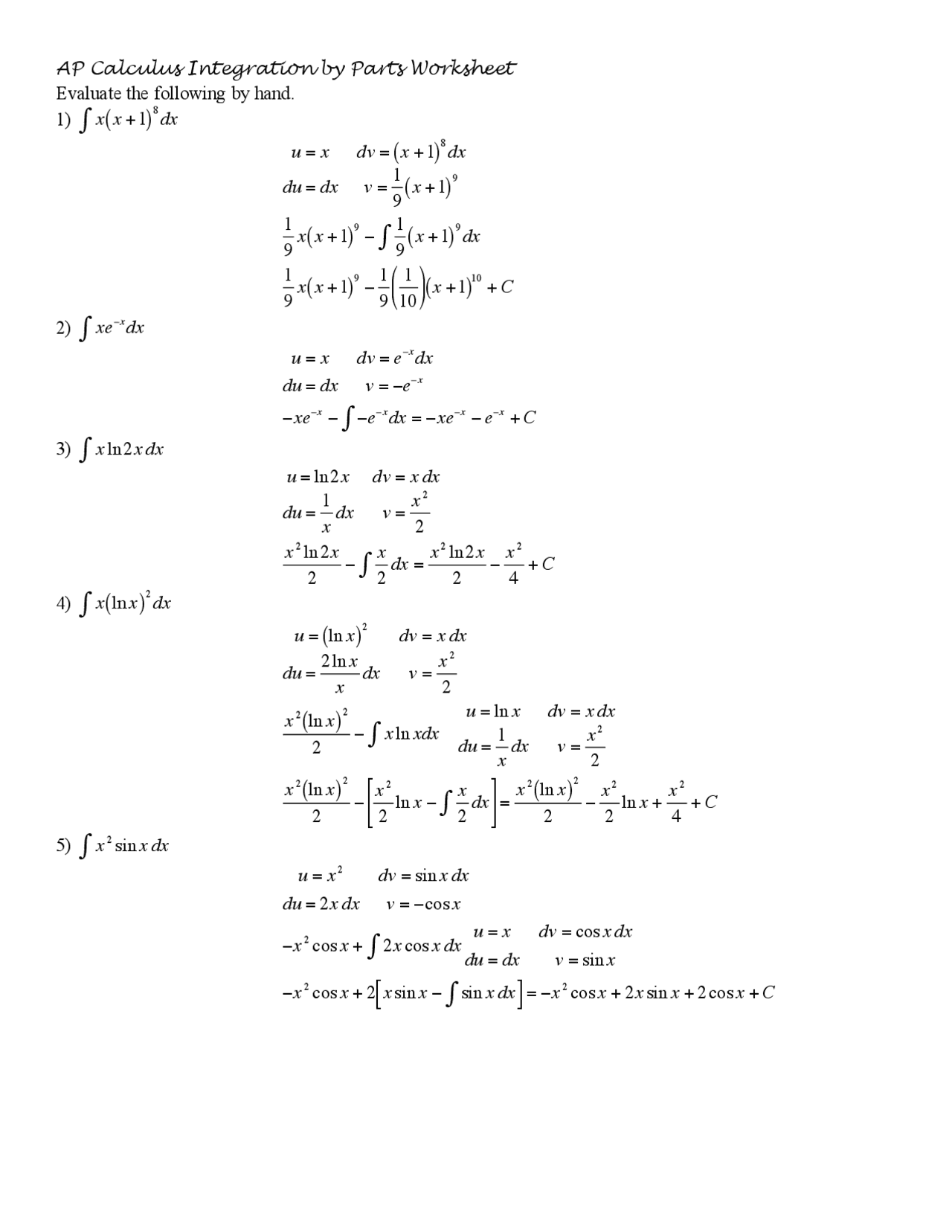
Integration By Parts Worksheet - Practice integrating by parts with this worksheet that contains 10 problems with detailed solutions. Learn how to use the formula, choose u and v, and apply. Worksheet integration by parts problem 1: Learn how to use the integration by parts formula to evaluate integrals of the form uv dx, where u and v are functions of x. The student will be given. See examples, tips, and a table. These calculus worksheets will produce problems that involve solving indefinite integrals by using integration by parts. Here is a set of practice problems to accompany the integration by parts section of the applications of integrals chapter of the notes for.
Practice integrating by parts with this worksheet that contains 10 problems with detailed solutions. These calculus worksheets will produce problems that involve solving indefinite integrals by using integration by parts. See examples, tips, and a table. Here is a set of practice problems to accompany the integration by parts section of the applications of integrals chapter of the notes for. Learn how to use the formula, choose u and v, and apply. Learn how to use the integration by parts formula to evaluate integrals of the form uv dx, where u and v are functions of x. Worksheet integration by parts problem 1: The student will be given.
Learn how to use the formula, choose u and v, and apply. Learn how to use the integration by parts formula to evaluate integrals of the form uv dx, where u and v are functions of x. Here is a set of practice problems to accompany the integration by parts section of the applications of integrals chapter of the notes for. Practice integrating by parts with this worksheet that contains 10 problems with detailed solutions. See examples, tips, and a table. Worksheet integration by parts problem 1: The student will be given. These calculus worksheets will produce problems that involve solving indefinite integrals by using integration by parts.
Calculus Integration BY Parts SAT PREP Worksheets Library
See examples, tips, and a table. Worksheet integration by parts problem 1: Learn how to use the formula, choose u and v, and apply. Learn how to use the integration by parts formula to evaluate integrals of the form uv dx, where u and v are functions of x. Practice integrating by parts with this worksheet that contains 10 problems.
Free Calculus Worksheets for homeschoolers, students, parents and teachers
Here is a set of practice problems to accompany the integration by parts section of the applications of integrals chapter of the notes for. The student will be given. Learn how to use the integration by parts formula to evaluate integrals of the form uv dx, where u and v are functions of x. These calculus worksheets will produce problems.
Ap calculus integration by parts worksheet key.pdf Study notes
See examples, tips, and a table. Here is a set of practice problems to accompany the integration by parts section of the applications of integrals chapter of the notes for. The student will be given. Worksheet integration by parts problem 1: Learn how to use the formula, choose u and v, and apply.
Calculus Worksheets Indefinite Integration for Calculus Worksheets
Learn how to use the integration by parts formula to evaluate integrals of the form uv dx, where u and v are functions of x. See examples, tips, and a table. Here is a set of practice problems to accompany the integration by parts section of the applications of integrals chapter of the notes for. The student will be given..
Integration By Parts Questions And Answers
Here is a set of practice problems to accompany the integration by parts section of the applications of integrals chapter of the notes for. Learn how to use the formula, choose u and v, and apply. Practice integrating by parts with this worksheet that contains 10 problems with detailed solutions. Worksheet integration by parts problem 1: These calculus worksheets will.
Solved Worksheet for Section 7.1− Integration by Parts The
Learn how to use the formula, choose u and v, and apply. Worksheet integration by parts problem 1: These calculus worksheets will produce problems that involve solving indefinite integrals by using integration by parts. Learn how to use the integration by parts formula to evaluate integrals of the form uv dx, where u and v are functions of x. Here.
Integration By Parts Practice
The student will be given. Learn how to use the integration by parts formula to evaluate integrals of the form uv dx, where u and v are functions of x. Learn how to use the formula, choose u and v, and apply. These calculus worksheets will produce problems that involve solving indefinite integrals by using integration by parts. Practice integrating.
Calculus Worksheets Indefinite Integration Worksheets
Practice integrating by parts with this worksheet that contains 10 problems with detailed solutions. The student will be given. Worksheet integration by parts problem 1: Here is a set of practice problems to accompany the integration by parts section of the applications of integrals chapter of the notes for. See examples, tips, and a table.
Integration by parts Method Exercise and Example Solved Problems
Practice integrating by parts with this worksheet that contains 10 problems with detailed solutions. Worksheet integration by parts problem 1: Learn how to use the integration by parts formula to evaluate integrals of the form uv dx, where u and v are functions of x. These calculus worksheets will produce problems that involve solving indefinite integrals by using integration by.
Integration by Parts Review 1 Worksheet for Higher Ed Lesson
Practice integrating by parts with this worksheet that contains 10 problems with detailed solutions. Worksheet integration by parts problem 1: Learn how to use the integration by parts formula to evaluate integrals of the form uv dx, where u and v are functions of x. Here is a set of practice problems to accompany the integration by parts section of.
Here Is A Set Of Practice Problems To Accompany The Integration By Parts Section Of The Applications Of Integrals Chapter Of The Notes For.
Practice integrating by parts with this worksheet that contains 10 problems with detailed solutions. Learn how to use the formula, choose u and v, and apply. See examples, tips, and a table. Worksheet integration by parts problem 1:
The Student Will Be Given.
Learn how to use the integration by parts formula to evaluate integrals of the form uv dx, where u and v are functions of x. These calculus worksheets will produce problems that involve solving indefinite integrals by using integration by parts.







